|  | CMSIS-DSP
    Version 1.5.2
    CMSIS DSP Software Library | 
| Functions | |
| void | arm_biquad_cas_df1_32x64_init_q31 (arm_biquad_cas_df1_32x64_ins_q31 *S, uint8_t numStages, q31_t *pCoeffs, q63_t *pState, uint8_t postShift) | 
| void | arm_biquad_cas_df1_32x64_q31 (const arm_biquad_cas_df1_32x64_ins_q31 *S, q31_t *pSrc, q31_t *pDst, uint32_t blockSize) | 
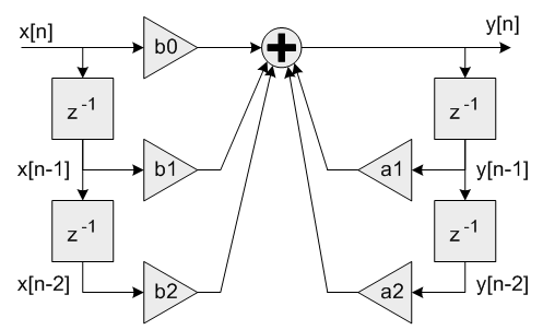
This function implements a high precision Biquad cascade filter which operates on Q31 data values. The filter coefficients are in 1.31 format and the state variables are in 1.63 format. The double precision state variables reduce quantization noise in the filter and provide a cleaner output. These filters are particularly useful when implementing filters in which the singularities are close to the unit circle. This is common for low pass or high pass filters with very low cutoff frequencies.
The function operates on blocks of input and output data and each call to the function processes blockSize samples through the filter. pSrc and pDst points to input and output arrays containing blockSize Q31 values.
    y[n] = b0 * x[n] + b1 * x[n-1] + b2 * x[n-2] + a1 * y[n-1] + a2 * y[n-2]
 A Direct Form I algorithm is used with 5 coefficients and 4 state variables per stage.  
b0, b1, and b2  multiply the input signal x[n] and are referred to as the feedforward coefficients. Coefficients a1 and a2 multiply the output signal y[n] and are referred to as the feedback coefficients. Pay careful attention to the sign of the feedback coefficients. Some design tools use the difference equation 
    y[n] = b0 * x[n] + b1 * x[n-1] + b2 * x[n-2] - a1 * y[n-1] - a2 * y[n-2]
 In this case the feedback coefficients a1 and a2 must be negated when used with the CMSIS DSP Library.numStages refers to the number of second order stages used. For example, an 8th order filter would be realized with numStages=4 second order stages.  
numStages=5 second order stages with the coefficients for one of the stages configured as a first order filter (b2=0 and a2=0).pState points to state variables array . Each Biquad stage has 4 state variables x[n-1], x[n-2], y[n-1], and y[n-2] and each state variable in 1.63 format to improve precision. The state variables are arranged in the array as: 
    {x[n-1], x[n-2], y[n-1], y[n-2]}
4*numStages values of data in 1.63 format. The state variables are updated after each block of data is processed; the coefficients are untouched.
    arm_biquad_cas_df1_32x64_ins_q31 S1 = {numStages, pState, pCoeffs, postShift};
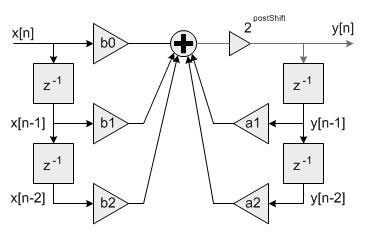
 where numStages is the number of Biquad stages in the filter; pState is the address of the state buffer; pCoeffs is the address of the coefficient buffer; postShift shift to be applied which is described in detail below. [-1 +1). The processing function has an additional scaling parameter postShift which allows the filter coefficients to exceed the range [+1 -1). At the output of the filter's accumulator is a shift register which shifts the result by postShift bits.  
2^postShift. For example, to realize the coefficients 
   {1.5, -0.8, 1.2, 1.6, -0.9}
 set the Coefficient array to: 
   {0.75, -0.4, 0.6, 0.8, -0.45}
 and set postShift=1| void arm_biquad_cas_df1_32x64_init_q31 | ( | arm_biquad_cas_df1_32x64_ins_q31 * | S, | 
| uint8_t | numStages, | ||
| q31_t * | pCoeffs, | ||
| q63_t * | pState, | ||
| uint8_t | postShift | ||
| ) | 
| [in,out] | *S | points to an instance of the high precision Q31 Biquad cascade filter structure. | 
| [in] | numStages | number of 2nd order stages in the filter. | 
| [in] | *pCoeffs | points to the filter coefficients. | 
| [in] | *pState | points to the state buffer. | 
| [in] | postShift | Shift to be applied after the accumulator. Varies according to the coefficients format. | 
Coefficient and State Ordering:
pCoeffs in the following order: 
    {b10, b11, b12, a11, a12, b20, b21, b22, a21, a22, ...}
 where b1x and a1x are the coefficients for the first stage, b2x and a2x are the coefficients for the second stage, and so on. The pCoeffs array contains a total of 5*numStages values.pState points to state variables array and size of each state variable is 1.63 format. Each Biquad stage has 4 state variables x[n-1], x[n-2], y[n-1], and y[n-2]. The state variables are arranged in the state array as: 
    {x[n-1], x[n-2], y[n-1], y[n-2]}
 The 4 state variables for stage 1 are first, then the 4 state variables for stage 2, and so on. The state array has a total length of 4*numStages values. The state variables are updated after each block of data is processed; the coefficients are untouched. References arm_biquad_cas_df1_32x64_ins_q31::numStages, arm_biquad_cas_df1_32x64_ins_q31::pCoeffs, arm_biquad_cas_df1_32x64_ins_q31::postShift, and arm_biquad_cas_df1_32x64_ins_q31::pState.
Referenced by main().
| void arm_biquad_cas_df1_32x64_q31 | ( | const arm_biquad_cas_df1_32x64_ins_q31 * | S, | 
| q31_t * | pSrc, | ||
| q31_t * | pDst, | ||
| uint32_t | blockSize | ||
| ) | 
| [in] | *S | points to an instance of the high precision Q31 Biquad cascade filter. | 
| [in] | *pSrc | points to the block of input data. | 
| [out] | *pDst | points to the block of output data. | 
| [in] | blockSize | number of samples to process. | 
postShift bits and the result truncated to 1.31 format by discarding the low 32 bits.arm_biquad_cascade_df1_q31() implements a Biquad cascade with 32-bit coefficients and state variables with a Q63 accumulator. arm_biquad_cascade_df1_fast_q31() implements a Biquad cascade with 32-bit coefficients and state variables with a Q31 accumulator. References blockSize, mult32x64(), arm_biquad_cas_df1_32x64_ins_q31::numStages, arm_biquad_cas_df1_32x64_ins_q31::pCoeffs, arm_biquad_cas_df1_32x64_ins_q31::postShift, and arm_biquad_cas_df1_32x64_ins_q31::pState.
Referenced by main().