|  | CMSIS-DSP
    Version 1.5.2
    CMSIS DSP Software Library | 
| Functions | |
| void | arm_fir_f32 (const arm_fir_instance_f32 *S, float32_t *pSrc, float32_t *pDst, uint32_t blockSize) | 
| Processing function for the floating-point FIR filter.  More... | |
| void | arm_fir_fast_q15 (const arm_fir_instance_q15 *S, q15_t *pSrc, q15_t *pDst, uint32_t blockSize) | 
| Processing function for the fast Q15 FIR filter for Cortex-M3 and Cortex-M4.  More... | |
| IAR_ONLY_LOW_OPTIMIZATION_ENTER void | arm_fir_fast_q31 (const arm_fir_instance_q31 *S, q31_t *pSrc, q31_t *pDst, uint32_t blockSize) | 
| Processing function for the fast Q31 FIR filter for Cortex-M3 and Cortex-M4.  More... | |
| void | arm_fir_init_f32 (arm_fir_instance_f32 *S, uint16_t numTaps, float32_t *pCoeffs, float32_t *pState, uint32_t blockSize) | 
| Initialization function for the floating-point FIR filter.  More... | |
| arm_status | arm_fir_init_q15 (arm_fir_instance_q15 *S, uint16_t numTaps, q15_t *pCoeffs, q15_t *pState, uint32_t blockSize) | 
| Initialization function for the Q15 FIR filter.  More... | |
| void | arm_fir_init_q31 (arm_fir_instance_q31 *S, uint16_t numTaps, q31_t *pCoeffs, q31_t *pState, uint32_t blockSize) | 
| Initialization function for the Q31 FIR filter.  More... | |
| void | arm_fir_init_q7 (arm_fir_instance_q7 *S, uint16_t numTaps, q7_t *pCoeffs, q7_t *pState, uint32_t blockSize) | 
| Initialization function for the Q7 FIR filter.  More... | |
| void | arm_fir_q15 (const arm_fir_instance_q15 *S, q15_t *pSrc, q15_t *pDst, uint32_t blockSize) | 
| Processing function for the Q15 FIR filter.  More... | |
| void | arm_fir_q31 (const arm_fir_instance_q31 *S, q31_t *pSrc, q31_t *pDst, uint32_t blockSize) | 
| Processing function for the Q31 FIR filter.  More... | |
| void | arm_fir_q7 (const arm_fir_instance_q7 *S, q7_t *pSrc, q7_t *pDst, uint32_t blockSize) | 
| Processing function for the Q7 FIR filter.  More... | |
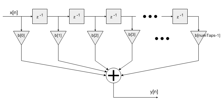
This set of functions implements Finite Impulse Response (FIR) filters for Q7, Q15, Q31, and floating-point data types. Fast versions of Q15 and Q31 are also provided. The functions operate on blocks of input and output data and each call to the function processes blockSize samples through the filter. pSrc and pDst points to input and output arrays containing blockSize values.
b[n] is multiplied by a state variable which equals a previous input sample x[n]. 
    y[n] = b[0] * x[n] + b[1] * x[n-1] + b[2] * x[n-2] + ...+ b[numTaps-1] * x[n-numTaps+1]
   
pCoeffs points to a coefficient array of size numTaps. Coefficients are stored in time reversed order. 
    {b[numTaps-1], b[numTaps-2], b[N-2], ..., b[1], b[0]}
  pState points to a state array of size numTaps + blockSize - 1. Samples in the state buffer are stored in the following order. 
    {x[n-numTaps+1], x[n-numTaps], x[n-numTaps-1], x[n-numTaps-2]....x[0], x[1], ..., x[blockSize-1]}
  blockSize-1. The increased state buffer length allows circular addressing, which is traditionally used in the FIR filters, to be avoided and yields a significant speed improvement. The state variables are updated after each block of data is processed; the coefficients are untouched. arm_fir_instance_f32 S = {numTaps, pState, pCoeffs}; arm_fir_instance_q31 S = {numTaps, pState, pCoeffs}; arm_fir_instance_q15 S = {numTaps, pState, pCoeffs}; arm_fir_instance_q7 S = {numTaps, pState, pCoeffs};
where numTaps is the number of filter coefficients in the filter; pState is the address of the state buffer; pCoeffs is the address of the coefficient buffer.
| void arm_fir_f32 | ( | const arm_fir_instance_f32 * | S, | 
| float32_t * | pSrc, | ||
| float32_t * | pDst, | ||
| uint32_t | blockSize | ||
| ) | 
| [in] | *S | points to an instance of the floating-point FIR filter structure. | 
| [in] | *pSrc | points to the block of input data. | 
| [out] | *pDst | points to the block of output data. | 
| [in] | blockSize | number of samples to process per call. | 
References arm_fir_instance_f32::numTaps, arm_fir_instance_f32::pCoeffs, and arm_fir_instance_f32::pState.
Referenced by main().
| void arm_fir_fast_q15 | ( | const arm_fir_instance_q15 * | S, | 
| q15_t * | pSrc, | ||
| q15_t * | pDst, | ||
| uint32_t | blockSize | ||
| ) | 
| [in] | *S | points to an instance of the Q15 FIR filter structure. | 
| [in] | *pSrc | points to the block of input data. | 
| [out] | *pDst | points to the block of output data. | 
| [in] | blockSize | number of samples to process per call. | 
Scaling and Overflow Behavior:
arm_fir_q15() for a slower implementation of this function which uses 64-bit accumulation to avoid wrap around distortion. Both the slow and the fast versions use the same instance structure. Use the function arm_fir_init_q15() to initialize the filter structure. References __PKHBT, __SIMD32, __SMLAD(), __SMLADX(), _SIMD32_OFFSET, arm_fir_instance_q15::numTaps, arm_fir_instance_q15::pCoeffs, and arm_fir_instance_q15::pState.
| IAR_ONLY_LOW_OPTIMIZATION_ENTER void arm_fir_fast_q31 | ( | const arm_fir_instance_q31 * | S, | 
| q31_t * | pSrc, | ||
| q31_t * | pDst, | ||
| uint32_t | blockSize | ||
| ) | 
| [in] | *S | points to an instance of the Q31 structure. | 
| [in] | *pSrc | points to the block of input data. | 
| [out] | *pDst | points to the block output data. | 
| [in] | blockSize | number of samples to process per call. | 
Scaling and Overflow Behavior:
arm_fir_q31() for a slower implementation of this function which uses a 64-bit accumulator to provide higher precision. Both the slow and the fast versions use the same instance structure. Use the function arm_fir_init_q31() to initialize the filter structure. References multAcc_32x32_keep32_R, arm_fir_instance_q31::numTaps, arm_fir_instance_q31::pCoeffs, and arm_fir_instance_q31::pState.
| void arm_fir_init_f32 | ( | arm_fir_instance_f32 * | S, | 
| uint16_t | numTaps, | ||
| float32_t * | pCoeffs, | ||
| float32_t * | pState, | ||
| uint32_t | blockSize | ||
| ) | 
| [in,out] | *S | points to an instance of the floating-point FIR filter structure. | 
| [in] | numTaps | Number of filter coefficients in the filter. | 
| [in] | *pCoeffs | points to the filter coefficients buffer. | 
| [in] | *pState | points to the state buffer. | 
| [in] | blockSize | number of samples that are processed per call. | 
Description:
pCoeffs points to the array of filter coefficients stored in time reversed order: 
   {b[numTaps-1], b[numTaps-2], b[N-2], ..., b[1], b[0]}
 pState points to the array of state variables. pState is of length numTaps+blockSize-1 samples, where blockSize is the number of input samples processed by each call to arm_fir_f32(). References arm_fir_instance_f32::numTaps, arm_fir_instance_f32::pCoeffs, and arm_fir_instance_f32::pState.
Referenced by main().
| arm_status arm_fir_init_q15 | ( | arm_fir_instance_q15 * | S, | 
| uint16_t | numTaps, | ||
| q15_t * | pCoeffs, | ||
| q15_t * | pState, | ||
| uint32_t | blockSize | ||
| ) | 
| [in,out] | *S | points to an instance of the Q15 FIR filter structure. | 
| [in] | numTaps | Number of filter coefficients in the filter. Must be even and greater than or equal to 4. | 
| [in] | *pCoeffs | points to the filter coefficients buffer. | 
| [in] | *pState | points to the state buffer. | 
| [in] | blockSize | is number of samples processed per call. | 
numTaps is not greater than or equal to 4 and even.Description:
pCoeffs points to the array of filter coefficients stored in time reversed order: 
   {b[numTaps-1], b[numTaps-2], b[N-2], ..., b[1], b[0]}
 Note that numTaps must be even and greater than or equal to 4. To implement an odd length filter simply increase numTaps by 1 and set the last coefficient to zero. For example, to implement a filter with numTaps=3 and coefficients 
    {0.3, -0.8, 0.3}
 set numTaps=4 and use the coefficients: 
    {0.3, -0.8, 0.3, 0}.
 Similarly, to implement a two point filter 
    {0.3, -0.3}
 set numTaps=4 and use the coefficients: 
    {0.3, -0.3, 0, 0}.
 pState points to the array of state variables. pState is of length numTaps+blockSize, when running on Cortex-M4 and Cortex-M3 and is of length numTaps+blockSize-1, when running on Cortex-M0 where blockSize is the number of input samples processed by each call to arm_fir_q15(). References ARM_MATH_ARGUMENT_ERROR, ARM_MATH_SUCCESS, arm_fir_instance_q15::numTaps, arm_fir_instance_q15::pCoeffs, arm_fir_instance_q15::pState, and status.
| void arm_fir_init_q31 | ( | arm_fir_instance_q31 * | S, | 
| uint16_t | numTaps, | ||
| q31_t * | pCoeffs, | ||
| q31_t * | pState, | ||
| uint32_t | blockSize | ||
| ) | 
| [in,out] | *S | points to an instance of the Q31 FIR filter structure. | 
| [in] | numTaps | Number of filter coefficients in the filter. | 
| [in] | *pCoeffs | points to the filter coefficients buffer. | 
| [in] | *pState | points to the state buffer. | 
| [in] | blockSize | number of samples that are processed per call. | 
Description:
pCoeffs points to the array of filter coefficients stored in time reversed order: 
   {b[numTaps-1], b[numTaps-2], b[N-2], ..., b[1], b[0]}
 pState points to the array of state variables. pState is of length numTaps+blockSize-1 samples, where blockSize is the number of input samples processed by each call to arm_fir_q31(). References arm_fir_instance_q31::numTaps, arm_fir_instance_q31::pCoeffs, and arm_fir_instance_q31::pState.
| void arm_fir_init_q7 | ( | arm_fir_instance_q7 * | S, | 
| uint16_t | numTaps, | ||
| q7_t * | pCoeffs, | ||
| q7_t * | pState, | ||
| uint32_t | blockSize | ||
| ) | 
| [in,out] | *S | points to an instance of the Q7 FIR filter structure. | 
| [in] | numTaps | Number of filter coefficients in the filter. | 
| [in] | *pCoeffs | points to the filter coefficients buffer. | 
| [in] | *pState | points to the state buffer. | 
| [in] | blockSize | number of samples that are processed per call. | 
Description:
pCoeffs points to the array of filter coefficients stored in time reversed order: 
   {b[numTaps-1], b[numTaps-2], b[N-2], ..., b[1], b[0]}
 pState points to the array of state variables. pState is of length numTaps+blockSize-1 samples, where blockSize is the number of input samples processed by each call to arm_fir_q7(). References arm_fir_instance_q7::numTaps, arm_fir_instance_q7::pCoeffs, and arm_fir_instance_q7::pState.
| void arm_fir_q15 | ( | const arm_fir_instance_q15 * | S, | 
| q15_t * | pSrc, | ||
| q15_t * | pDst, | ||
| uint32_t | blockSize | ||
| ) | 
| [in] | *S | points to an instance of the Q15 FIR structure. | 
| [in] | *pSrc | points to the block of input data. | 
| [out] | *pDst | points to the block of output data. | 
| [in] | blockSize | number of samples to process per call. | 
Scaling and Overflow Behavior:
arm_fir_fast_q15() for a faster but less precise implementation of this function. References blockSize, arm_fir_instance_q15::numTaps, arm_fir_instance_q15::pCoeffs, and arm_fir_instance_q15::pState.
| void arm_fir_q31 | ( | const arm_fir_instance_q31 * | S, | 
| q31_t * | pSrc, | ||
| q31_t * | pDst, | ||
| uint32_t | blockSize | ||
| ) | 
| [in] | *S | points to an instance of the Q31 FIR filter structure. | 
| [in] | *pSrc | points to the block of input data. | 
| [out] | *pDst | points to the block of output data. | 
| [in] | blockSize | number of samples to process per call. | 
Scaling and Overflow Behavior:
arm_fir_fast_q31() for a faster but less precise implementation of this filter for Cortex-M3 and Cortex-M4. References blockSize, arm_fir_instance_q31::numTaps, arm_fir_instance_q31::pCoeffs, and arm_fir_instance_q31::pState.
| void arm_fir_q7 | ( | const arm_fir_instance_q7 * | S, | 
| q7_t * | pSrc, | ||
| q7_t * | pDst, | ||
| uint32_t | blockSize | ||
| ) | 
| [in] | *S | points to an instance of the Q7 FIR filter structure. | 
| [in] | *pSrc | points to the block of input data. | 
| [out] | *pDst | points to the block of output data. | 
| [in] | blockSize | number of samples to process per call. | 
Scaling and Overflow Behavior:
References blockSize, arm_fir_instance_q7::numTaps, arm_fir_instance_q7::pCoeffs, and arm_fir_instance_q7::pState.